姜慧鹏,刘宜成,蒲明,庞冰洋
(四川大学 电气信息学院,四川 成都 610065)
摘要:为了改善单相LCL型并网逆变器的稳态性能和瞬时响应性能,提出了一种基于改进切换函数的滑模控制策略。该控制策略从开关函数模型角度分析单相LCL型并网逆变器的数学模型,得到系统的状态方程。通过选取合适的滑模面,求得等效控制。提出一种改进的切换函数设计滑模控制器,并用李雅普洛夫第二法证明了系统的稳定性。最后用MATLAB对系统进行了仿真实验,仿真结果表明,采用该控制策略的逆变器具有较好的稳态性能和瞬时响应性能,其并网电流畸变率为0.41%。
关键词:滑模控制;并网逆变器;LCL;李雅普洛夫第二法
0引言
目前,煤炭、天然气等不可再生资源的日益消耗,使环境污染越来越严重,各国都在积极寻求高效、清洁的可再生能源,利用太阳能发电的技术及设备成为研究热点[1]。
并网逆变器就是其中的一项关键设备,它将光伏电池输出的直流电转换为有谐波的交流电。为了减小谐波的影响,需要对逆变过后的并网电流进行滤波[2]。LCL滤波器的体积小且能有效滤除电流中的高频分量,因此被越来越多地采用。不过这种滤波器的电容支路会引起谐振,这就要求控制器具有更强的稳态性能和更好的响应性能[35]。
逆变器控制方法已有很多学者研究,常见的几种也各有其优劣势。滞环控制稳定性好、响应快,但要求开关频率高,损耗加大[68]。PI控制技术成熟、可靠性高,但具有稳态误差[910]。另外有学者采用具有较好稳定性、鲁棒性和瞬时响应特性的滑模控制[1011],但对逆变器的模型做了一定的简化,且在控制器中引入了基于传递函数模型的PI控制。本文从开关函数角度出发,推导了单相LCL型并网逆变器的数学模型,并采用基于改进切换函数的滑模控制策略设计控制器。最后,用MATLAB仿真验证了控制器的有效性和正确性。
1电路结构及数学模型
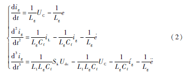
单相LCL型并网逆变器采用桥式逆变,并网侧用LCL滤波器滤波,电路结构如图1 所示。其中,Udc、Uin、UC和e分别直流侧电压、逆变器输出电压、滤波电容电压和并网电压;iL、iC、ig分别为流过逆变器侧电感L1的电流、流过滤波电容Cf的电流和流过网侧电感Lg的并网电流[12]。

由基尔霍夫电压和电流定律,列出各个回路的电路方程如下:

其中,Sk为开关函数。
以上方程可化简为:

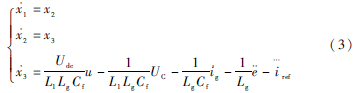
取x=[x1x2x3]=[ig-irefg-refg-ref],u=Sk,则有状态方程:

2滑模控制器的设计
滑模控制有基于等效控制和基于趋近律的两种实现方法[13],这里采用基于等效控制的方法。设计步骤如下。
首先选取滑模面:
s=x1+k1x2+k2x3(4)
其中,k1、k2为大于零的常数。
由s=0得:
=1+k12+k23=0 (5)
将式(3)代入推导得:

在取切换控制时,采用改进的切换控制函数:
un=-k3s-k4sgn(s)(7)
其中,k3、k4为大于零的常数。则可以得到控制量u=ueq+un,即:

这里得到的控制量是一个连续的时间信号,需要通过一个PWM产生器,产生4个开关信号来控制全桥的对应开关。
3稳定性的证明
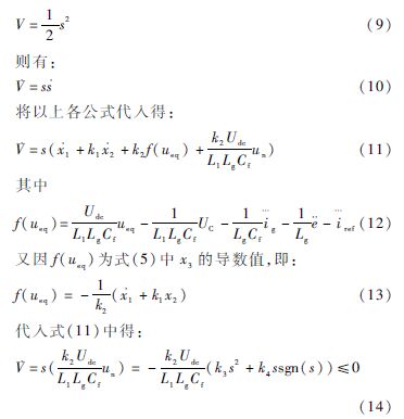
取正定标量函数:

根据李雅普诺夫第二法的相关论述可知系统稳定。
4系统仿真分析
为了证明改进的滑模控制器的有效性,用MATLAB对一台额定容量为1 kVA的并网逆变器进行了仿真,控制器分别采用双闭环(PI+P)控制策略[14]和改进的滑模控制策略。表1列出了系统的仿真参数。

为观察系统的稳态性能,在并网逆变器稳定运行时,分析并网电压与并网电流,并对并网电流做FFT分析。为了突出对比,将电流放大了10倍显示。
采用双闭环(PI+P)控制策略时,并网电压和并网电流如图2所示,并网电流的FFT分析如图3所示,并网电压与并网电流同频同相,THD为0.66%。


采用改进的滑模控制策略时,并网电压和并网电流如图4所示,并网电流的FFT分析如图5所示,并网电压与并网电流同频同相,THD为0.41%,系统具有较好的稳态性能。

为观察系统的瞬时响应性能,分析了负载在满载与半载之间跳变的情况,得到了跳变(跳变时刻t=0.025 s)时的并网电流波形。
采用双闭环(PI+P)控制策略时,半载至满载跳变的情况如图6所示,满载跳变至半载的情况如图7所示,并网电流能在0.002 s(0.1个周期)内恢复稳定运行,且有最大为0.7的超调。

采用改进的滑模控制策略时,半载至满载跳变的情况如图8所示,满载跳变至半载的情况如图9所示,并网电流能在0.001 s(0.05个周期)内恢复稳定运行,且没有超调,系统具有较好的瞬时响应性能。

5结论
本文推导了单相LCL型并网逆变器的数学模型,提出了一种基于改进切换函数的滑模控制策略。1 kVA并网逆变器的仿真研究表明,采用本文所提出的滑模控制策略,系统具有较好的稳态性能,在负载跳变后,系统能快速地恢复稳定运行,具有很好的瞬时响应特性。
参考文献
[1] 艾欣,韩晓男,孙英云.大型光伏电站并网特性及其低碳运行与控制技术[J].电网技术,2013,37(1):1523.
[2] 李泽斌,罗安,田园,等.LCL型光伏并网逆变器电流内环控制方法[J].电网技术,2014,38(10):27722778.
[3] 赵晋斌,张元吉,屈克庆,等.单相LCL并网逆变器控制策略综述[J].电工技术学报,2013,28(10):134142.
[4] 戴训江,晁勤.基于LCL滤波的光伏并网逆变器电流滞环控制[J].电力电子技术,2009,43(7):3335.
[5] 臧鹏,洪峰,辛张楠,等.LCL滤波器型双Buck并网逆变器[J].电子技术应用,2015,41(10):129132.
[6] 马小虎,袁晓玲,施俊华.改进滞环电流控制策略在光伏并网中的研究[J].电源技术,2013,37(11):20192022.
[7] 彭传彪,王少坤,王晓锋,等.自适应滞环电流控制逆变器复合控制策略[J].电力自动化设备,2011, 31(7):4247.
[8] 黄少辉,林培杰,程树英,等.电流型并网逆变器的模糊滞环控制[J].微型机与应用,2015,34(13):7376.
[9] 韩金刚,朱瑞林,汤天浩,等.LCL型并网逆变器并网电流复合控制研究[J].太阳能学报,2014,35(9):15991605.
[10] 何翔,张代润.基于滑模控制的三相光伏并网逆变器研究[J].电源技术,2014, 38(4): 672675.
[11] 王朗珠,丁茂桃,郑连清.一种新的三相电压型PWM整流器控制[J].电力电子技术,2012,46(5):5759.
[12] 黄挚雄,徐保友,沈玲菲,等.LCL并网逆变器新型电流双闭环控制策略研究[J].电力系统保护与控制,2012,40(17):15.
